Bộ gắn điốt chuyên dụng
Đi-ốt chân không gắn độc lập với tấm chắn an toàn trong suốt
Cuộn dây solenoid tích hợp
Solenoid xoay 560 để căn chỉnh từ trường chính xác
Đơn vị đo lường độ chính xác cao
Bộ khuếch đại mức microampere với màn hình 4.5 chữ số (0.1μa-20mA)
Cung cấp điện áp ổn định
Bộ nguồn có thể điều chỉnh tuyến tính (0-160.0V DC), không gợn sóng
Thu thập dữ liệu nâng cao
Giao diện pasco kép để thu thập dữ liệu thời gian thực
Xác định hàm công việc điện tử kim loại
Chuyển động điện tử trong điện trường kết hợp và từ trường (đo E/M)
Điều tra phân phối fermi-dirac
Đặc tính điện áp hiện tại của điốt chân không lý tưởng
Không. | Bộ phận | Thông số kỹ thuật |
1 | Bảng điều khiển chính |
|
2 | Nguồn điện một chiều |
|
3 | Đi-ốt chân không |
|
4 | Solenoid | 560 lượt |
# | Bộ phận | Mô hình | Số lượng. |
1 | Thiết bị chức năng làm việc điện tử kim loại | BEM-5715 | 1 |
2 | Nguồn điện một chiều có thể điều chỉnh | BEM-5055 | 1 |
3 | Cụm Đi-ốt chân không lý tưởng | BEM-5716 | 1 |
4 | Cuộn dây solenoid | BC-201026 | 1 |
5 | Dây chuối đỏ 2mm (vỏ bọc) | BC-104087 | 2 |
6 | Dây chuối đen 2mm (vỏ bọc) | BC-104088 | 2 |
7 | Dây chuối đỏ 4mm | BC-105084 | 1 |
8 | Dây chuối đen 4mm | BC-105083 | 1 |
9 | Dây chuối đen 4mm (bọc) | BC-105073 | 1 |
10 | Dây chuối đỏ 4mm (bọc) | BC-105074 | 1 |
11 | Dây nguồn | BC-105075 | 1 |
12 | Cáp giao diện 8 chân | BC-105077 | 2 |
Thí nghiệm 1: xác định chức năng làm việc
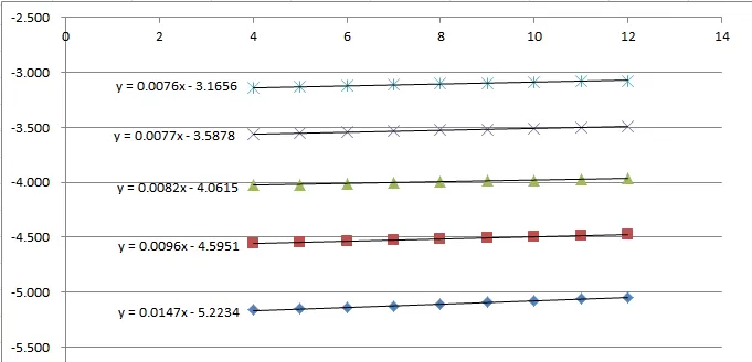
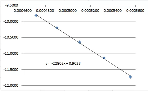
Bảng 1: đặc tính dòng anode so với điện áp và nhiệt độ


Bảng 2: tham số phân tích Richardson


Thí nghiệm 2: Đo tỷ lệ điện tích trên khối lượng

Thí nghiệm 3: nghiên cứu phân phối fermi-dirac


Thí nghiệm 4: đặc tính Diode I-V

Phần mềm thu thập dữ liệu capstone UI-5400
Giao diện phổ thông UI-5000 850
Cảm biến điện áp không dây PS-3211 (2 chiếc)
